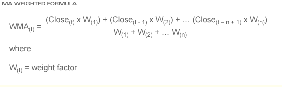
加權移動平均線 (WMA) 將過去某特定時間內的價格取其平均值,它比重以平均線的長度設定,愈近期的收市價,對市況影響愈重要。計算方式是基於加權移動平均線日數,將每一個之前日數比重提升。每一價格會乘以一個比重,最新的價格會有最大的比重,其之前的每一日的比重將會遞減。 加權移動平均線的公式如下: 
加權移動平均線是一種顯示於圖表上的輔助指標。乾坤燭圖可於同一時間內顯示三條平均線,將10支燭,20支燭及50支燭的平均線為設定參數,並可以收市價、最高價、最低價及聚焦點計算。而200支燭也是投資者最為常用參數之一。 大部份技術分析者利用簡單移動平均線設定一個買賣系統。利用兩條平均線中較短期的一條作為訊號線。例如: 當短期的平均線上穿較長期的平均線,顯示牛市在即,策略訂為造好不造淡 ; 相反,當短期的平均線下穿較長期的平均線,顯示熊市在即,策略訂為造淡不造好。 加權移動平均線亦可作支持及阻力之用。當市況向跌破時沽出,升破時買進,簡單移動平均線便會在部份情況下反映強烈的支持或阻力。50支燭及200支燭通常都會被視為計算支持及阻力之用。 正因加權移動平均線強調將愈近期的價格比重提升,故此當市況倒退時,加權移動平均線比起其他平均線更容易預測價格波動。 |